首页
电影
动作片
爱情片
科幻片
恐怖片
战争片
喜剧片
纪录片
剧情片
电视剧
国产剧
香港剧
欧美剧
韩剧
台湾剧
日剧
泰剧
综艺
动漫
留言
播放记录
九号公路
豆瓣评分:0
HD国语
分类:
喜剧片
导演:
吴琴
地区:
中国大陆
年份:
2011
语言:
汉语普通
更新:
2024-04-16 19:53
报错
收藏
九号公路是由马斯瑟,谢丹主演的一部喜剧片。连环画「越战美故事」之十三《九号公路大捷》 " " " " " " " " " " " " " "..
更多
九号公路剧情介绍
×
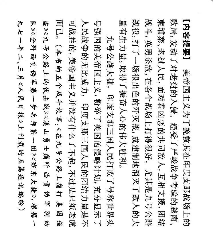
连环画「越战美故事」之十三《九号公路大捷》
"
"
"
"
"
"
"
"
"
"
"
"
"
"
"
"
"
"
"
"
"
"
"
播放列表
1080
非凡线路
腾讯视频
排序
HD国语版
无需安装任何插件,即可快速播放
排序
HD国语
无需安装任何插件,即可快速播放
排序
HD
剧情介绍
连环画「越战美故事」之十三《九号公路大捷》
"
"
"
"
"
"
"
"
"
"
"
"
"
"
"
"
"
"
"
"
"
"
"
猜你喜欢
0分
2011
九号公路
3.9分
2018
时空偷渡少女
0分
2011
九号公路
6.1分
2014
从哪来,到哪去
3.4分
2018
时空偷渡少女
3.4分
2018
时空偷渡少女
0分
2011
九号公路
影片评论
评论加载中...
首页
会员
留言
顶部
视频
资讯
数码宝贝第一季(..
奇妙萌可第二季
豺狼的日子第一季
迪迦奥特曼(普通..
憧憬成为魔法少女
精灵宝可梦第一季..
数码宝贝第一季 ..
怪医文三块
模范出租车3
白日焰火
美国人
人鱼的旋律第一季
加载中...