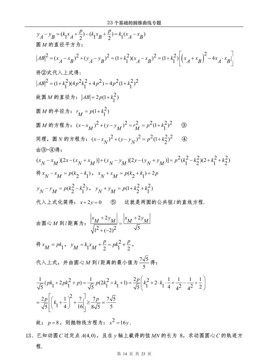
曲线难题是由克林特·伊斯特伍德,艾米·亚当斯,约翰·古德曼,切尔西·罗斯,贾斯汀·汀布莱克,乔治·维内尔,鲍勃·冈顿,杰克·吉尔平,马修·里沃德,罗伯特·帕特里克,内主演的一部剧情片。 " " " " " " " " " " " " " " " " " " " " " " " 更多